歡迎來到上海鄂泉泵業有限公司網站!
咨詢電話:021-59260980ZW無堵塞自吸排污泵是在反復研究國內外同類技術的基礎上開發成功的一種結構新穎的產品。該泵集自吸和無堵塞排污于一體,采用軸向回流外混式,并通過泵體、葉輪流道的獨特設計,即可象一般自吸清水泵那樣不需要安裝底閥和灌引水,又可吸排含有大顆粒固本和長纖維雜質液體,與國內同類產品相比,具有結構簡單、自吸性能好、排污能力強、高效節能,使用維修方便等待點。可廣泛適用于市政排污工程、河塘養殖、輕工、造紙、紡織、食品、化工、電業等行業,是輸送含有顆粒雜質、纖維、漿料和混合懸浮等污水介質理想的雜質泵。

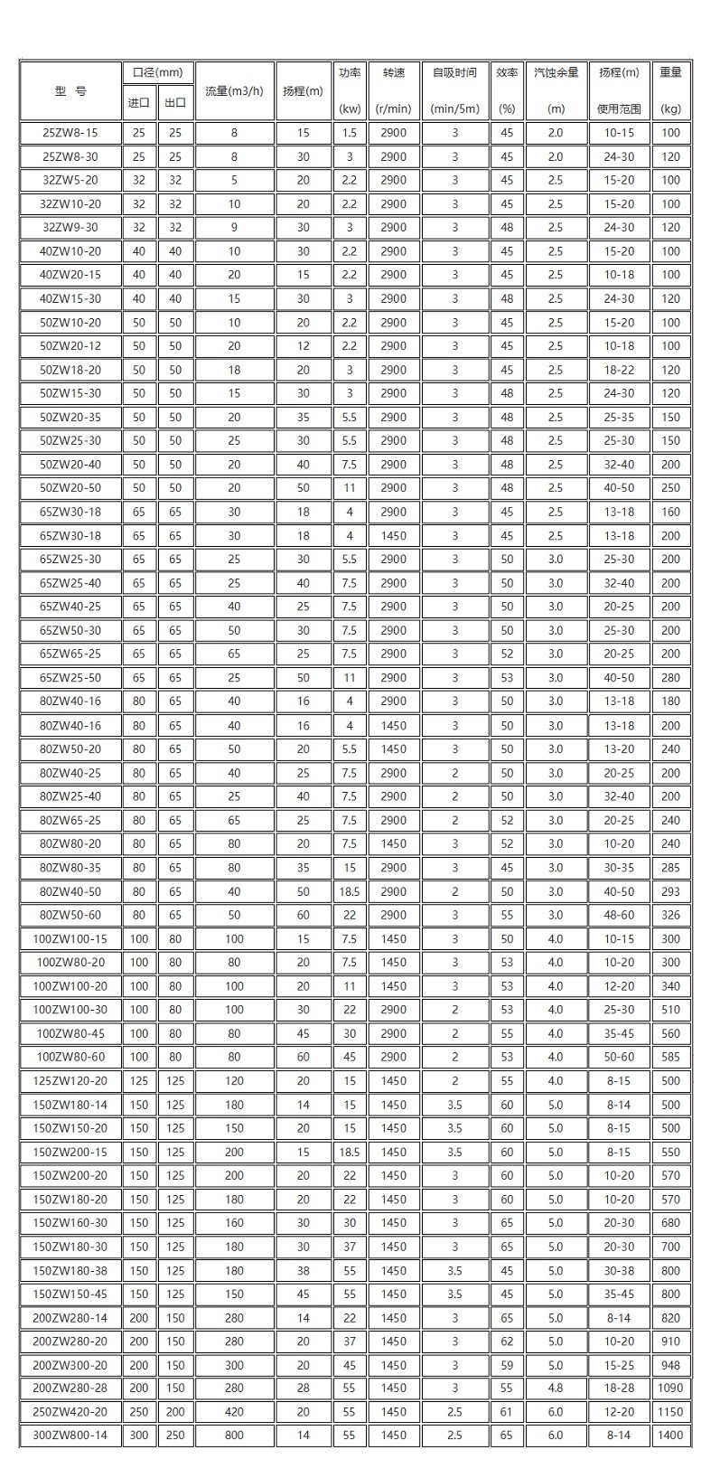
ZW無堵塞自吸排污泵技術選型:

ZW無堵塞自吸排污泵適用于工廠商業嚴重污染廢水的排放、主宅區的污水排污站、城市污水處理廠派水系統、人防系統排水站、自來水廠的給水設備、醫院、賓館的污水排放、市政工程建筑工地、礦山配套附機、農村沼氣池、農田灌溉等行業,輸送帶顆粒的污水,污物,也可用于清水及帶弱腐蝕性介質。